Blog
Blog
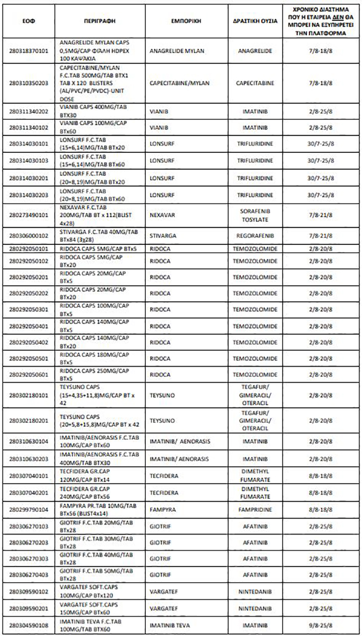
ΕΟΠΥΥ: Πώς θα γίνει η χορήγηση φαρμάκων υψηλού κόστους τον Αύγουστο [πίνακας]

Από τις 30 Ιουλίου θα ξεκινήσουν τα προβλήματα με τη χορήγηση φαρμάκων υψηλού κόστους, καθώς φαρμακευτικές και εταιρείες μεταφορών θα παραμείνουν κλειστές.
Σύμφωνα με σημερινή εγκύκλιο του ΕΟΠΥΥ, η οποία παρατίθεται πιο κάτω, “κατά την περίοδο του Αυγούστου και λόγω αδυναμίας ορισμένων φαρμακευτικών και μεταφορικών εταιρειών, η διεκπεραίωση αιτημάτων για χορήγηση Φαρμάκων Υψηλού Κόστους από ιδιωτικά φαρμακεία που υποβάλλονται μέσω της πλατφόρμας θα είναι δυνατή σύμφωνα με παρακάτω πίνακα”.



Επιπλέον Πληροφορίες
Πηγή: iatronet.gr
Facebook
LinkedIn
X
