Blog
Blog
Εξελίξεις στην ανίχνευση τεστ υπερήχων περιπτώσεων καρκίνου των ωοθηκών

Η έγκαιρη διάγνωση του καρκίνου των ωοθηκών είναι ζωτικής σημασίας και αξίζει να αναφερθεί ότι αυτή η έρευνα αποδεικνύει ότι υπάρχουν πιο ακριβείς τρόποι χρήσης υπερήχων.
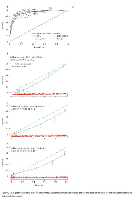
Πολλαπλά μοντέλα πρόβλεψης κινδύνου χρησιμοποιούνται στην κλινική πρακτική για την ταξινόμηση των ασθενών ως χαμηλού ή υψηλού κινδύνου για καρκίνο των ωοθηκών. Στη μελέτη ROCkeTS, στόχος ήταν να προσδιοριστεί η καλύτερη διαγνωστική εξέταση για τον καρκίνο των ωοθηκών σε συμπτωματικές ασθενείς, μέσω συγκρίσεων μοντέλων πρόβλεψης κινδύνου, σε ένα περιβάλλον πραγματικού κόσμου. Η μελέτη δημοσιεύτηκε στο Lancet Oncology στις 30 Σεπτεμβρίου και τονίζεται ότι για πρώτη φορά πραγματοποιείται μια κατ’ ιδίαν μελέτη όλων των διαθέσιμων διαγνωστικών τεστ καρκίνου των ωοθηκών στον ίδιο πληθυσμό.

Από τα έξι διαγνωστικά τεστ που διερευνήθηκαν, το μοντέλο IOTA ADNEX, το οποίο εξετάζει τα χαρακτηριστικά υπερήχων, είχε την καλύτερη ακρίβεια από όλα και μπορούσε να ανιχνεύσει έως και το 96% των γυναικών με καρκίνο των ωοθηκών.Το τεστ που χρησιμοποιείται τώρα, το τεστ κινδύνου κακοήθειας (RMI1) εντοπίζει το 83% των καρκίνων των ωοθηκών. Τα στοιχεία παρουσιάζουν περιληπτικά οι ιατροί της Θεραπευτικής Κλινικής (Νοσοκομείο Αλεξάνδρα) της Ιατρικής Σχολής του ΕΚΠΑ Θεοδώρα Ψαλτοπούλου (Παθολόγος, Καθηγήτρια Θεραπευτικής-Επιδημιολογίας-Προληπτικής Ιατρικής), Δρ. Μαρία Καπαρέλου (Παθολόγος – Ογκολόγος) και Θάνος Δημόπουλος (τ. Πρύτανης ΕΚΠΑ, Καθηγητής Θεραπευτικής – Ογκολογίας – Αιματολογίας, Διευθυντής Θεραπευτικής Κλινικής).

Ευρήματα
Ο πληθυσμός της μελέτης αποτελούνταν από συμπτωματικές, μετεμμηνοπαυσιακές γυναίκες οι οποίες κινδυνεύουν περισσότερο από αυτόν τον καρκίνο. Οι ερευνητές κατέληξαν ότι το πρωτόκολλο υπερήχων IOTA ADNEX είχε την υψηλότερη ευαισθησία για την ανίχνευση του καρκίνου των ωοθηκών σε σύγκριση με το πρότυπο περίθαλψης και άλλων εξετάσεων. Ειδικότερα, το μοντέλο IOTA ADNEX πέτυχε 96% ακρίβεια όταν πραγματοποιήθηκε από υπερηχογράφους του NHS που ήταν κατάλληλα εκπαιδευμένοι και έλαβαν διασφάλιση ποιότητας.

Ακόμη, διαπιστώθηκε ότι η εξέταση υπερήχων αποδίδει επίσης καλά όταν παρέχεται από εκπαιδευμένο υπερηχογράφο που έχει λάβει ειδική εκπαίδευση και πιστοποίηση και διασφάλιση ποιότητας. Προσφέρονται δωρεάν εισαγωγικές διαδικτυακές πηγές για το προσωπικό του NHS ώστε οι ενδιαφερόμενοι ιατροί να λάβουν ειδική εκπαίδευση υπερήχων και πιστοποίηση και διασφάλιση ποιότητα.

Μειονέκτημα
Η υψηλότερη ευαισθησία του μοντέλου IOTA ADNEX είναι πιθανό να οδηγήσει ορισμένες γυναίκες που δεν πάσχουν από καρκίνο να επισημανθούν επίσης ως άτομα με υψηλότερο κίνδυνο καρκίνου, δηλαδή να βγει ένα θετικά ψευδές αποτέλεσμα.
Σημαντική είναι η πρώιμη διάγνωση και επαγρύπνηση για τα συμπτώματα του καρκίνου των ωοθηκών ώστε οι ασθενείς έγκαιρα να λαμβάνουν την καλύτερη δυνατή θεραπεία. Σημειώνεται όμως ότι ο καρκίνος των ωοθηκών δεν εμφανίζει συμπτώματα στα αρχικά στάδια, μπορεί τελικά να εμφανίσει κοιλιακό πόνο, αλλαγή εντερικών συνηθειών, κολπική αιμορραγία, συχνουρία και κόπωση.
Πηγή: virus.com.gr
